STANDARD 资源中心 RESOURCE CENTER
药用辅料审评关注点:基因毒性与亚硝胺类杂质的风险评估与合规控制 2025-09-23

在药物制剂的研发与生产过程中,辅料起着至关重要的作用,它不仅能够改善药物的物理性质、提高药物的稳定性,还能辅助药物的吸收与释放。然而,辅料中潜在的基因毒性杂质和亚硝胺杂质风险却不容忽视,这些杂质可能对药品的安全性和有效性构成严重威胁。

image.png

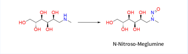
葡甲胺与N-亚硝基葡甲胺风险

葡甲胺作为一种常用的药用辅料,常被用于调节药物的pH值、增加药物的溶解度等。但在特定条件下,葡甲胺可能会与亚硝化试剂发生反应,生成N-亚硝基葡甲胺。

image.png

2024年2月,EMA将N-亚硝基葡甲胺列入“Acceptable intakes (AIs) established for N-nitrosamines”列表,将其AI值定为1500ng/天。2025年3月,FDA也将其列入“FDA Recommended AI Limits for Certain Hypothetical NDSRIs and Other Identified Nitrosamine Impurities”列表,将其AI值定为100ng/天,并指出在10种药物中,需要对N-亚硝基葡甲胺进行研究。


依地酸(EDTA)与亚硝胺杂质风险

依地酸(EDTA)及其盐类在药物制剂中常作为金属离子络合剂使用,以提高药物的稳定性,防止金属离子催化药物的氧化降解。然而,研究发现,EDTA在一定条件下可能会引入两种亚硝胺杂质。

image.png

这两个亚硝胺杂质都在EMA“Acceptable intakes (AIs) established for N-nitrosamines”列表中,其AI值定1500ng/天。


香精与小分子醛风险

香精在药物制剂中用于改善药物的气味和口感,使患者更容易接受药物。但部分香精在生产过程中可能会残留或生成小分子醛类物质。小分子醛具有较高的化学活性,能够与生物体内的蛋白质、核酸等大分子物质发生反应。以甲醛为例,它能与DNA中的碱基发生交联,破坏DNA的结构和功能,干扰细胞的正常代谢和遗传信息传递。因此必须对香精中的小分子醛进行研究和控制。


其它药用辅料与亚硝酸盐风险

研究发现硬脂酸镁、胶态二氧化硅、交联聚维酮、预胶化淀粉、磷酸二氢钠、微晶纤维素(MCC)、滑石粉、乙基纤维素、羧甲纤维素钠、聚维酮K30、玉米淀粉、羟丙甲纤维素(HPMC)、乳糖、甘露醇、聚乙二醇、交联羧甲纤维素钠等常见药用辅料中会含有亚硝酸盐,含量为ppm级别。这会在制剂中引入微量的亚硝化试剂,在某些条件下,会导致制剂中产生亚硝胺杂质。因此应严格控制这些辅料中的亚硝酸盐含量或对制剂中相应亚硝胺杂质进行研究,控制风险。

image.png

总结

药物制剂中辅料带来的基因毒性杂质和亚硝胺杂质风险需引起充分关注,制药企业应高度重视,从原料选择、生产工艺优化、质量控制等各个环节加强管理,通过科学方法控制和降低相关杂质的产生与引入,以保障药品质量,维护患者用药安全。

斯坦德生物医药在药物质量研究领域,配备了国际先进的仪器设备,并组建了专业的技术团队。针对上述辅料中的基因毒性杂质和亚硝胺杂质,我们具备丰富的研究经验。我们可为客户提供符合法规要求的基因毒性杂质评估、检测等全套解决方案,为药物的注册申报工作提供技术支持。


返回